前言
本文引用地址:http://www.eepw.com.cn/article/274816.htm以高性能和小尺寸为特色的MEMS麦克风特别适用于平板电脑、笔记本电脑、智能手机等消费电子产品。不过,这些产品的麦克风声孔通常隐藏在产品内部,因此,设备厂商必须在外界与麦克风之间设计一个声音路径,以便将声音信号传送到MEMS麦克风振膜。这条声音路径的设计对系统总体性能的影响很大。
下图是一个典型的平板电脑的麦克风声音路径:

图1–典型应用示例
外界与麦克风振膜之间的声音路径由产品外壳、声学密封圈、印刷电路板和麦克风组成,这条声音路径起到波导作用,构建系统总体频响。此外,声音路径材质的声阻抗也会影响频响。若想准确预测声学设计的性能如何,需要建立声音路径模型,使用COMSOL等专业级仿真工具对声音路径的频响特性进行仿真实验。然而,本文为读者提供一些优化麦克风声音路径的基本原则。
Helmholtz谐振
狭窄的传声孔与空心腔室相连构成的结构在受到声波激励时会产生声学谐振。当我们对着空瓶的瓶嘴上方吹气时,就会发生这种谐振现象。这种结构叫做Helmholtz谐振器,是以该现象的发明者Hermann von Helmholtz命名的。Helmholtz利用谐振频率不同的谐振器识别音乐等复杂声音内的频率成份。
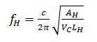
Helmholtz谐振的中心频率是由下面的程式确定:

其中c是空气速度;AH是声孔的横截面积;LH是声孔的长度;VC是空腔的容积。该方程式假设谐振器是一个空腔和一条横截面均等的管道相连组成的简单结构。如果麦克风的声音路径的横截面积和材质不同,则描述声音路径的声波特性的方程式要复杂很多。因此,必须对整个声音路径进行声波特性仿真实验才能精确地预测声学设计的总体性能。
在本文内,通过改变麦克风密封圈的厚度和内径、产品外壳声孔直径、印刷电路板声孔直径、声音路径弯折和路径材质的声阻抗,我们对不同的声音路径进行了频响仿真实验。实验结果让设计人员能够预先掌握这些参数变化对声音路径总体性能的影响程度。
麦克风的频响
MEMS麦克风低频频响是由以下主要参数决定的:传感器振膜前侧和后侧之间通风孔的尺寸;后室的容积。而MEMS麦克风高频频响则是由麦克风前室和声孔产生的Helmholtz谐振决定的。
对于大多数MEMS麦克风,当麦克风的灵敏度降至低频然后再上升到高频时,因为Helmholtz谐振的原因,频响曲线大体相同。但是,不同的MEMS麦克在传感器设计、封装尺寸和结构方面差异很大,所以总体频响特别是高频频响的差异很大。意法半导体的多数麦克风将传感器直接置于声孔上面,以最大限度地降低前室容积,确保优异的高频响应。

图2–意法半导体MP34DT01上置声孔麦克风及其声室的X光影像
下面的仿真实验结果描述了意法半导体MP34DB01 MEMS麦克风本身的频响,该仿真工具在声音路径模型的每个离散点上求解该方程式,在仿真结束后,将在所有有用点采集的数据绘成图形。

图3–MP34DB01和MP34DT01 MEMS麦克风的声室
MP34DB01麦克风仿真结果证明,频响曲线在高频部分非常平坦,在20 kHz时,典型灵敏度上升幅度大约+3dB,这是因为Helmholtz谐振的中心频率很高。该仿真结果非常接近MP34DB01的实际测量频响。

图4– MP34DB01 MEMS麦克风频响仿真结果和实际测量结果